Individu

Apa itu Standar Deviasi dalam Investasi? Ini Fungsi & Rumusnya

24 2月 2022 • Ditulis oleh: Redaksi OCBC NISP

Bagikan Ke

Artikel Card Image
Promo Card Image

Setiap instrumen ataupun jenis investasi pasti memiliki risikonya masing-masing. Standar deviasi adalah salah satu alat ukur untuk bisa mengukur risiko tersebut, atau juga biasa disebut simpangan baku.

Nah, jika Sobat OCBC NISP masih baru ingin terjun berinvestasi, sebaiknya Anda menyesuaikan tingkat risiko yang bisa ditoleransi. Karena seperti kata pepatah, high risk high return.

Lalu, apa itu standar deviasi dan bagaimana cara menghitungnya? Berikut telah kami rangkum penjelasan lengkapnya di bawah ini. Simak sampai habis ya!


Apa itu Standar Deviasi?

Secara umum, pengertian standar deviasi adalah suatu uji statistik guna mengetahui bagaimana deviasi atau sebaran data dalam suatu kumpulan data. Dengan kata lain, standar deviasi digunakan untuk melihat jauh dekatnya sebaran data tersebut dari rata-rata atau mean.

Pada lingkup keuangan, standar deviasi adalah alat ukur statistik yang dalam keuangan digunakan pada tingkat pengembalian tahunan investasi dalam mengukur risiko terjadinya volatilitas. Artinya, semakin tinggi standar deviasi semakin tinggi pula volatilitasnya.

Itulah kenapa standar deviasi adalah salah satu alat yang sangat bermanfaat bagi Anda dalam menentukan strategi perdagangan dan investasi, sehingga standar deviasi juga menjadi alat fundamental utama untuk para analis, penasihat, dan manajer portofolio.


Fungsi Standar Deviasi

Utamanya, fungsi standar deviasi adalah untuk mengukur risiko pada portofolio investasi, seperti risiko sistematis atau yang berasal dari portofolio itu sendiri. Lebih lengkapnya, beberapa fungsi standar deviasi adalah sebagai berikut.

  1. Alat ukur risiko investasi
    Seperti yang sudah dibahas tadi, fungsi pertama dari standar deviasi adalah sebagai alat ukur risiko investasi, dimana hampir semua investor menganggapnya momok karena takut mendapatkan kerugian.

    Oleh karena itu, menggunakan standar deviasi bisa membantu Anda untuk mengukur dan mengelola risiko hingga mengambil keputusan investasi.

  2. Alat ukur kinerja reksadana
    Pengertian standar deviasi adalah penyimpangan nilai dari rata-rata suatu kumpulan data, dimana rata-rata tersebut merupakan rata-rata nilai kinerja reksadana. Semakin besar standar deviasinya, maka semakin besar risiko, kemungkinan profit, dan variasi kinerjanya.

    Hal ini bisa membantu Anda dalam membandingkan produk reksadana mana yang akan diambil menyesuaikan dengan profil risiko investasi Sobat OCBC NISP.

  3. Alat analisa saham
    Fungsi terakhir dari standar deviasi adalah sebagai alat analisa saham, dimana Anda bisa melihat apakah distribusi datanya normal atau tidak. Artinya, jika data terdistribusi normal, maka harga saham tersebut sering terjadi.

    Sebaliknya, jika distribusi tidak normal dan semakin jauh dari deviasi standar, maka dapat diartikan harga saham tersebut langka atau jarang terjadi.


Penggunaan Standar Deviasi saat Investasi

Meski tingginya nilai standar deviasi berarti volatilitas juga tinggi, nyatanya tidak semua orang atau investor menyukai standar deviasi yang rendah. Hal ini karena tergantung pada masing-masing investor sejauh mana mereka mau mengambil risiko investasinya.

Begitupun ketika Anda menemui adanya penyimpangan dalam portofolio investasi, sebagai seorang investor Anda diharapkan bisa membuat pertimbangan seberapa besar toleransi terhadap tingkat volatilitas serta keseluruhan tujuan investasi.

Maka dari itu, umumnya para investor konservatif akan lebih memilih standar deviasi bernilai kecil. Berbeda dengan investor agresif yang justru lebih nyaman dengan investasi bernilai volatilitas tinggi karena potensi return lebih besar.


Cara Menghitung Standar Deviasi

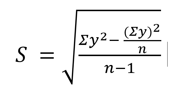
Cara menghitung standar deviasi bisa Anda lakukan menggunakan rumus berikut.

Rumus Standar Deviasi

Keterangan:
S = Standar deviasi
y^2 = nilai kuadrat jumlah data
y = nilai keseluruhan data
n = jumlah keseluruhan data


Rumus Standar Deviasi Excel

Selain menghitungnya secara manual, Anda juga bisa menghitungnya melalui bantuan software Excel dengan formula berikut:

  • STDEV, cara menghitung standar deviasi namun mengabaikan nilai logika maupun teks.
  • STDEVP, rumus standar deviasi excel data populasi.
  • STDEVA dan STEDEVPA, rumus standar deviasi excel dengan mengikutsertakan nilai logika dan teks.

Cara Menghitung Standar Deviasi di Kalkulator

Selain Excel, Sobat OCBC NISP juga bisa menghitung standar deviasi menggunakan kalkulator scientific. Caranya yaitu:

  • Nyalakan kalkulator, lalu tekan tombol mode.
  • Tekan tombol nomor 3 (STAT) untuk mode statistik.
  • Lalu, pilih nomor 1 (VAR-1)
  • Masukkan atau input data yang akan dihitung, tekan (=), angka, (=), dan seterusnya.
  • Tekan tombol sama dengan (=) jika semua data sudah dimasukkan.
  • Pilih tombol AC kemudian Shift.
  • Kemudian tekan tombol 1 (STAT), 4 (VAR), 3 (σ×) untuk melihat hasil akhir dan klik tombol (=).

Ada banyak cara dan rumus bagaimana cara menghitung standar deviasi yang bisa Anda coba. Sejatinya, standar deviasi adalah salah satu alat ukur risiko investasi saja, supaya lebih yakin, Sobat OCBC NISP bisa melengkapinya dengan melakukan analisa lain dari segi fundamental dan teknikal.

Atau, bisa diskusi dengan Rachel dari Wealth Management OCBC NISP supaya lebih melek investasi! Semoga bermanfaat.


Baca Juga:

Tertarik dengan artikel kami?

Bagikan Artikel Ini?

Produk Terkait

OCBC mobile

OCBC mobile

Cross Selling Banner Global

Min. size 1204x240px. Less than that, there is a possibility that your image will be blurry or stretched

最新文章

5 Kesalahan Fatal Anggaran Proposal yang Bikin Ditolak Client!
  • Individu

5 Kesalahan Fatal Anggaran Proposal yang Bikin Ditolak Client!

18 6月 2025

Jangan sampai proposalmu ditolak karena anggaran berantakan! Simak 5 kesalahan umum dalam menyusun anggaran biaya proposal yang wajib dihindari.

Apakah Asuransi Jiwa Bisa Dicairkan Sebelum Meninggal Dunia? Cek Faktanya di Sini!
  • Individu

Apakah Asuransi Jiwa Bisa Dicairkan Sebelum Meninggal Dunia? Cek Faktanya di Sini!

17 6月 2025

Tidak banyak yang tahu, tapi asuransi jiwa bisa dicairkan sebelum meninggal, loh! Namun tetap ada syarat dan ketentuannya. Yuk cek fakta-faktanya berikut ini!

Pinjaman Apa Saja yang Masuk BI Checking? Cek 7 Jenis Ini!
  • Individu

Pinjaman Apa Saja yang Masuk BI Checking? Cek 7 Jenis Ini!

13 6月 2025

Ternyata, 7 jenis pinjaman ini tercatat di BI Checking dan bisa mempengaruhi credit score jika tidak diselesaikan dengan baik. Cari tahu detailnya di artikal ini, yuk!

Mau Ambil KPR 200 Juta? Ini Cicilan Per Bulan yang Harus Disiapkan!
  • Individu

Mau Ambil KPR 200 Juta? Ini Cicilan Per Bulan yang Harus Disiapkan!

9 6月 2025

Cicilan per bulan untuk ambil KPR Rp 200 Juta berapa sih? berikut syarat dan simulasi lengkap sesuai tenor yang dipilih