Currency peg adalah upaya suatu negara atau bank dalam mempertahankan nilai tukar tetap terhadap mata uang asing.
Untuk itu, peran bank sentral sangat penting dalam membantu mengendalikan pergerakan nilai tukar mata uang agar tetap stabil.
Nah, untuk mengetahui lebih lanjut mengenai apa itu currency peg, yuk, baca artikel ini sampai habis!
Apa itu Currency Peg?
Pada dunia ekonomi, ada berbagai mekanisme dan kebijakan yang digunakan oleh pemerintah atau bank sentral suatu negara untuk mengatur nilai tukar mata uang.
Adapun salah satu kebijakan yang sering diterapkan adalah penetapan mata uang atau currency peg.
Currency peg adalah kebijakan di mana pemerintah atau bank sentral suatu negara, menetapkan nilai tukar tetap untuk mata uang domestiknya terhadap mata uang asing tertentu.
Tujuan utama dari kebijakan ini adalah untuk menstabilkan nilai tukar mata uang domestik dan mempromosikan stabilitas ekonomi.
Komponen Currency Peg
Untuk melaksanakan currency peg, ada beberapa komponen penting yang perlu dipahami, antara lain yaitu:
1. Mata Uang Domestik
Mata uang domestik adalah mata uang yang digunakan oleh suatu negara sebagai alat pembayaran sah di dalam wilayahnya.
Adapun contoh mata uang domestik adalah Dolar Amerika Serikat (USD), Euro (EUR) untuk negara-negara anggota Uni Eropa, dan Yen Jepang (JPY).
2. Mata Uang Asing
Mata uang asing adalah mata uang yang berasal dari negara lain dan digunakan sebagai patokan atau basis untuk menetapkan nilai tukar mata uang domestik.
Contoh mata uang asing yang sering digunakan dalam kebijakan ini adalah dolar Amerika Serikat (USD) dan Euro (EUR).
Baca juga: Mengenal Mata Uang Fiat dan Bedanya dengan Uang Kripto
3. Nilai Tukar Tetap
Nilai tukar tetap adalah nilai tukar mata uang domestik yang ditetapkan secara resmi terhadap mata uang asing.
Misalnya, suatu negara menetapkan nilai tukar tetap 1:1 antara mata uang domestiknya dan dolar Amerika Serikat.
Maka hal tersebut berarti, setiap unit mata uang domestik akan setara dengan satu dolar Amerika Serikat.
Cara Kerja Currency Peg
Cara currency peg bekerja adalah dengan mengaitkan nilai tukar mata uang domestik dengan mata uang asing yang telah ditentukan sebelumnya.
Motivasi utama di balik kebijakan ini adalah untuk mendorong perdagangan antar negara dengan mengurangi risiko nilai tukar (foreign exchange risk).
Pada dasarnya, sebuah negara akan memilih untuk mengaitkan mata uang domestiknya dengan mata uang negara lain yang memiliki kondisi perekonomian lebih kuat.
Hal ini dilakukan, agar perusahaan domestik dapat tumbuh dan mengakses pasar lebih luas dengan risiko yang lebih rendah.
Melalui penerapan kebijakan ekonomi ini, hubungan perdagangan antara kedua negara dapat terjaga dengan stabil, dan bahkan bisa berlangsung selama puluhan tahun.
Sebagai contoh, dolar Hong Kong telah menggunakan currency peg terhadap dolar Amerika sejak tahun 1983.
Jika suatu negara menerapkan kebijakan ini dengan menggunakan kurs tetap (fixed exchange rate) terhadap dolar Amerika, maka negara tersebut harus memiliki cadangan dolar yang cukup besar untuk menjaga stabilitas nilai tukar.
Akibatnya, negara tersebut harus memiliki hubungan ekspor yang kuat dengan Amerika Serikat. Hal ini juga berlaku bagi negara-negara lain yang menerapkan kebijakan serupa.
Baca juga: Mata Uang Zimbabwe Menjadi Tidak Berharga, Apa Penyebabnya?
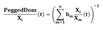
Rumus Currency Peg
Adapun rumus sederhana yang digunakan dalam currency peg adalah sebagai berikut:

Sumber: Wallstreetmojo
Keterangan:
PeggedDom = Pasak Mata Uang Domestik
Xi, Xm = Notasi Generik
t= Waktu
I = Mata Uang Asing
Contoh Pasak Mata Uang
Salah satu contoh currency peg yang terkenal adalah peg Saudi Arabia terhadap Dolar Amerika Serikat. Sejak tahun 1986, riyal Saudi diikat pada nilai tetap 3,75 terhadap Dolar AS.
Keputusan ini diambil setelah embargo minyak Arab pada tahun 1973, ketika Saudi Arabia merespons keterlibatan Amerika Serikat dalam perang Arab-Israel dengan mengikat nilai tukar riyal terhadap Dolar AS.
Pengaruh embargo minyak tersebut menyebabkan dolar AS melemah dan mengakibatkan ketidakstabilan ekonomi.
Melalui kesepakatan dengan pemerintah Saudi, dolar AS kembali mendapatkan kekuatan sebagai mata uang.
Jadi, dapat disimpulkan bahwa, keuntungan dari penetapan mata uang ini adalah stabilitas dan penurunan inflasi di Saudi Arabia, yang didukung oleh kebijakan currency peg.
Baca juga: 10 Mata Uang Terendah di Dunia Tahun 2021, Cek Daftarnya!
Keuntungan dan Kekurangan Pasak Mata Uang
Seperti kebijakan ekonomi lainnya, sistem nilai tukar tetap currency peg memiliki keuntungan dan kekurangan, di antaranya yaitu:
Keuntungan Pasak Mata Uang
Adapun keuntungan dari kebijakan ini adalah sebagai berikut:
-
Membantu perencanaan keuangan pemerintah domestik.
-
Membantu melindungi tingkat daya saing barang ekspor dari negara domestik ke mata uang asing.
-
Membantu pembelian komoditas penting seperti produk makanan dan minyak.
-
Membantu dalam stabilisasi kebijakan moneter.
-
Mengurangi volatilitas yang ada di pasar keuangan asing.
-
Mendukung peningkatan standar hidup dan pertumbuhan berkelanjutan dalam ekonomi domestik.
Kekurangan Pasak Mata Uang
Adapun kekurangan dari kebijakan ini adalah sebagai berikut:
-
Intervensi urusan luar negeri yang meningkat dalam urusan domestik.
-
Bank sentral harus terus memantau permintaan dan penawaran mata uang asing terkait mata uang domestiknya.
-
Kebijakan ini tidak memungkinkan penyesuaian defisit secara otomatis.
-
Mendorong ketidakseimbangan karena tidak adanya penyesuaian waktu nyata dalam akun modal untuk negara domestik dan asing.
-
Dapat menyebabkan serangan spekulatif terhadap nilai mata uang jika tidak sejalan dengan nilai kurs tetap.
-
Para spekulan dapat mendorong nilai mata uang domestik dari nilai fundamentalnya dan memaksa devaluasi.
-
Untuk menjaga currency peg, negara-negara domestik harus memiliki cadangan devisa besar, sehingga dapat menyebabkan inflasi karena penggunaan modal tinggi.
Demikian sederet informasi mengenai apa itu currency peg atau pasak mata uang, mulai dari pengertian, komponen, hingga keuntungan dan kekurangannya.
Berdasarkan pembahasan di atas, dapat disimpulkan bahwa currency peg adalah upaya pemerintah dalam mengendalikan nilai tukar tetap mata uangnya.
Hal tersebut bertujuan untuk membantu meningkatkan taraf hidup masyarakat.
Nah, apabila Sobat OCBC NISP juga tertarik untuk meningkatkan perekonomian keluarga, layanan simpanan dari Bank OCBC NISP merupakan pilihan terbaik.
Bank OCBC NISP menawarkan berbagai jenis simpanan, mulai dari tabungan, tabungan berjangka, hingga deposito.
Ketiga jenis simpanan tersebut memiliki berbagai jenis yang bisa Sobat OCBC NISP ambil sesuai dengan kebutuhan.
Untuk itu, tunggu apa lagi, yuk, mulai menabung dan tingkatkan taraf hidup bersama OCBC NISP!
Baca juga: Apa itu Pips dalam Forex? Nilai Tukar dan Cara Menghitungnya