Individu

Dividend Discount Model: Pengertian, Jenis, dan Cara Hitung

9 Mar 2023 • Ditulis oleh: Redaksi OCBC

Bagikan Ke

Artikel Card Image
Promo Card Image

Dividend discount model adalah metode kuantitatif untuk menilai harga saham perusahaan berdasarkan asumsi nilainya saat ini sama dengan dividen masa depan.

Dengan menggunakan metode ini, Sobat OCBC NISP bisa menentukan apakah saham perusahaan tersebut layak untuk dibeli atau tidak.

Bagaimana caranya? Yuk, simak cara menghitung dividend discount model dan penjelasan lengkapnya pada ulasan berikut ini!

Apa itu Dividend Discount Model?

DDM atau Dividend Discount Model adalah metode kuantitatif yang dipakai untuk memprediksi harga saham perusahaan.

Metode ini memanfaatkan teori nilai harga saham saat ini sama dengan total jumlah pembayaran dividen di masa mendatang ketika diberikan diskonto kembali ke nilai saat ini.

Dalam hal ini, dividend discount model adalah sebuah metode untuk melakukan penghitungan nilai wajar saham terlepas dari apa pun kondisi pasar yang berlaku saat itu.

Selain itu, metode ini juga mempertimbangkan faktor pembayaran dividen dan pengembalian yang diharapkan pasar.

Apabila nilai yang didapatkan dari dividend discount model adalah lebih tinggi dari harga perdagangan saham saat ini, maka saham tersebut undervalued.

Dengan demikian, saham tersebut memenuhi syarat untuk dibeli, begitu pun sebaliknya.

Baca juga: Mengenal Apa itu Retained Earning, Cara Hitung & Contohnya

Cara Menghitung Dividend Discount Model

Mempelajari cara menghitung dividend discount model adalah hal penting supaya Sobat OCBC NISP bisa menemukan hasil nilai DDM dengan tepat.

Cara penghitungan dividend discount model adalah dengan menggunakan tiga jenis metode berikut ini:

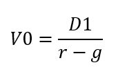
1. Model Pertumbuhan Gordon

Model Pertumbuhan Gordon (GGM) adalah salah satu variasi dalam dividend discount model yang paling umum digunakan.

Penemu model ini adalah ekonom Amerika Myron J. Gordon. Metode GGM membantu investor dalam mengevaluasi nilai intrinsik saham berdasarkan tingkat pertumbuhan konstan potensi dividen.

Metode GGM memiliki asumsi dasar bahwa aliran dividen masa depan akan tumbuh di tingkat yang konstan di masa depan untuk waktu tak terbatas.

Model ini membantu investor dalam menentukan stabilitas nilai bisnis dengan arus kas yang kuat serta konsistensi dari tingkat pertumbuhan dividen.

Umumnya, metode ini mengasumsikan bahwa perusahaan memiliki model bisnis yang konsisten dan stabil serta memiliki tingkat pertumbuhan konstan dari waktu ke waktu.

Secara matematis, rumus cara menghitung dividend discount model adalah

dividend1

  1. V0 = Nilai wajar saham saat ini
  2. D1 = Pembayaran dividen dalam satu periode dari sekarang
  3. r = Perkiraan biaya modal ekuitas (biasanya dihitung menggunakan CAPM)
  4. g = Tingkat pertumbuhan konstan dividen perusahaan untuk waktu yang tidak terbatas

Baca juga: Pengertian Saham Preferen dan Bedanya dengan Saham Biasa

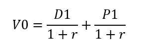
2. Model Diskon Dividen Satu Periode

Pada dasarnya, model diskon dividen satu periode lebih jarang digunakan daripada model Pertumbuhan Gordon.

Cara ini biasa diterapkan ketika seorang investor ingin menentukan harga intrinsik suatu saham yang akan dijualnya dalam satu periode, biasanya selama setahun.

DDM satu periode umumnya mengasumsikan bahwa seorang investor siap untuk memegang saham hanya selama satu tahun.

Karena singkatnya periode kepemilikan, arus kas yang diharapkan dari saham tersebut adalah pembayaran dividen tunggal dan harga jual dari surat berharga tersebut.

Oleh karena itu, jumlah pembayaran dividen masa depan dan perkiraan harga jual harus dihitung sekaligus didiskontokan kembali ke nilai sekarang supaya bisa menentukan harga wajarnya.

Model diskon dividen satu periode memiliki persamaan matematis seperti berikut ini:

 

dividend2

  1. V0 = Nilai wajar saham saat ini
  2. D1 = Pembayaran dividen dalam satu periode dari sekarang
  3. P1 = Harga saham dalam satu periode dari sekarang
  4. r = Perkiraan biaya modal ekuitas

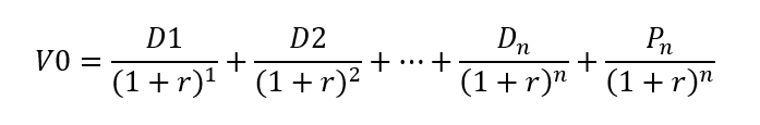
3. Model Diskon Dividen Multi-Periode

Model diskon dividen multi-periode merupakan kelanjutan dari model diskon dividen satu periode, yaitu investor mengharapkan untuk memegang suatu saham selama beberapa periode.

Adapun tantangan utama dari model diskon dividen multi-periode adalah diperlukan perkiraan pembayaran dividen untuk periode yang berbeda.

Dalam DDM multi-periode, seorang investor diharapkan untuk menahan saham yang ia beli selama beberapa periode waktu.

Oleh karena itu, arus kas masa depan yang diharapkan akan terdiri dari sejumlah pembayaran dividen, dan estimasi harga jual saham pada akhir periode holding.

Nilai intrinsik saham dapat ditemukan dengan cara memperkirakan nilai jumlah pembayaran dividen yang diharapkan dan harga jual, lalu didiskontokan untuk menemukan nilai sekarang.

Rumus matematika dari model diskon dividen multi-periode adalah:

 

dividend3

Baca juga: Apa Itu Keuangan Korporasi? Ini Prinsip & Aktivitas Utamanya

Kelebihan dan Kelemahan Dividend Discount Model

Sama seperti metode lainnya, dividend discount model juga memiliki kelebihan dan kekurangannya tersendiri yang bisa Anda jadikan sebagai bahan pertimbangan terlebih dahulu sebelum menggunakannya.

Adapun penjelasan lengkap seputar kelebihan dan kelemahan dividend discount model adalah sebagai berikut:

Kelebihan Dividend Discount Model

Kelebihan dividend discount model adalah sebagai berikut:

  1. Logis: model ini mencoba menilai saham berdasarkan profil arus kas masa depan dan metode matematika sehingga sangat sedikit unsur subjektivitasnya.
  2. Perusahaan terkesan sudah matang: penggunaan metode ini menyiratkan bahwa perusahaan telah matang dan tidak banyak perubahan pada tingkat pertumbuhan dan pendapatan.
  3. Konsisten: perusahaan cenderung konsisten menjaga pembayaran dividen mereka supaya selaras dengan fundamental bisnis.

Kelemahan Dividend Discount Model

Sementara itu, daftar kelemahan dari dividend discount model adalah:

  1. Hanya bisa digunakan pada perusahaan yang matang: model ini secara efisien hanya dapat menilai perusahaan yang sudah matang dan tidak bisa diterapkan pada bisnis berorientasi pada pertumbuhan tinggi seperti startup.
  2. Sensitivitas asumsi: harga wajar saham sangat sensitif dengan tingkat pertumbuhan dan tingkat pengembalian yang disyaratkan. Jadi perubahan 1% pada keduanya dapat mempengaruhi valuasi perusahaan sebanyak 10%-20%.
  3. Ini mungkin tidak terkait dengan pendapatan: perusahaan cenderung berusaha mempertahankan pembayaran dividen dengan jumlah stabil dibandingkan dengan berdasarkan laba.

Demikian informasi seputar dividend discount model, mulai dari pengertian, cara menghitung, serta kelebihan dan kelemahan metode tersebut.

Dividend discount model adalah sebuah metode untuk memperkirakan nilai saham di masa depan dengan memperhatikan kondisi pasar masa kini.

Meskipun metode tersebut cukup efektif, namun ada berbagai kemungkinan yang tidak bisa kita prediksi dan di luar perkiraan dividend discount model.

Namun, tidak perlu khawatir. Sobat OCBC NISP tetap bisa melakukan investasi dengan risiko minim dengan reksa dana di Bank OCBC NISP.

Reksa dana adalah jenis investasi dengan risiko rendah, aman, dan tentunya cocok untuk mempersiapkan dana masa depan.

Baca juga: Return Saham: Definisi, Indikator, dan Cara Menghitungnya

Tertarik dengan artikel kami?

Bagikan Artikel Ini?

Produk Terkait

Individu

Individu

Solusi perbankan OCBC siap bantu kamu penuhi semua aspirasi dalam hidup #TAYTB

Segala Kemudahan Ada
di Satu Genggaman

Nikmati berbagai layanan kartu OCBC sesuai kebutuhan Anda

Artikel Terbaru

Mudik Aman? Jangan Sampai Data Pribadi Anda Dicuri via Wi-Fi Publik!
  • Individu

Mudik Aman? Jangan Sampai Data Pribadi Anda Dicuri via Wi-Fi Publik!

11 Mar 2026
Mudik dan libur Lebaran memang penuh kegembiraan — tapi di balik senyum pulang kampung, ada ancaman tersembunyi yang tak terlihat.
Gagal masuk sekolah impian, karena dana jadi halangan
  • Individu

Gagal masuk sekolah impian, karena dana jadi halangan

10 Mar 2026
Pendidikan dari sekolah dasar hingga menengah atas adalah hak setiap anak. Orang tua juga pastinya ingin memberikan yang terbaik untuk anak tercinta dengan memasukan anaknya ke sekolah yang paling bagus untuk memberikan pendidikan paling baik.
Transparansi Informasi: Kunci Bijak Mengelola Keuangan Sebagai Nasabah
  • Individu

Transparansi Informasi: Kunci Bijak Mengelola Keuangan Sebagai Nasabah

5 Mar 2026

Sebagai nasabah, Anda berhak atas informasi yang jelas, akurat, dan transparan terkait setiap produk atau layanan keuangan yang ingin Anda gunakan. Namun, sering kali, masalah muncul bukan karena produknya buruk, melainkan karena kurangnya pemahaman terhadap informasi yang tersedia sebelum penggunaan.

Perang US-Iran War: Risiko and Implikasi
  • Individu

Perang US-Iran War: Risiko and Implikasi

3 Mar 2026
Pada tanggal 28 Februari, setelah gagal mencapai kesepakatan diplomatik dengan rezim Iran, AS –berkoordinasi dengan Israel– memulai aksi militer terhadap Iran, dengan menyerang target-target militer, yang bertujuan untuk perubahan rezim dan memastikan bahwa Iran tidak memperoleh senjata nuklir.

Kemudahan Transaksi Perbankan di Ujung Jari

Download OCBC mobile sekarang!